pengajian am penggal 3
PERSATUAN NEGARA-NEGARA ASIA TENGGARA Isu-isu dan cabaran semasa dalam pertubuhan ASEAN. About Press Copyright Contact us Creators Advertise Developers Terms Privacy Policy Safety How YouTube works Test new features Press Copyright Contact us Creators.
Nota Penggal 3 Pengajian Am Stpm Pdf
Desire Of Dream Nota Ringkas Bab 1 Pengajian Am Penggal 1 Esei LP Pengajian Am.
. Download PDF - Nota Ringkas Pengajian Am Penggal 3 2nv87ewjxylk. Video ini adalah kelas ulangkaji bagi pelajar STPM SEM 3. Nota Ringkas Pengajian Am Penggal 3.
Perkembangan islam di madinah. Video ini berkenaan pembelajaran pengajian am. Dewan Negara Pengajian Am.
Tajuk kali ini ialah Pola Perbandingan. Home current Explore Explore All. Punca-Punca Pemanasan Global 1.
Nota Ringkas Pengajian Am. Waktu peperiksaan Sijil Tinggi Persekolahan Malaysia STPM adalah berbeza-beza mengikut kertas. KEYWORD POLA PERUBAHAN - perkembangan - pergerakan - perubahan - aliran - pola perubahanKADAR TREND digugurkan dari video ini2.
Pengajian am penggal 3 DRAFT. Sign up for free to create engaging inspiring and converting videos with Powtoon. Contoh Skema Jawapan Praktis 8.
Jadual ini menunjukkan kuantiti. Selasa 25 Jun 2013. This a complete notes for yoou.
Download View Esei Pengajian Am Penggal 3 Stpm as PDF for free. Aktiviti manusia yang tidak. Koleksi esei pangajian am.
Pengajian perniagaan sem 3. Nota pengajian am penggal 1. Rujukan Online Pengajian Am Penggal 3 Sijil Tinggi Pelajaran Malaysia.
Bangunan parlimen telah dirasmikan pada 2 november 1963. SEJARAH PENUBUHAN ASEAN ASEAN Association of Southeast. About Press Copyright Contact us Creators Advertise Developers Terms Privacy Policy Safety How YouTube works Test new features Press Copyright Contact us Creators.
Pengajian perniagaan sem 3. ESEI PENGAJIAN AM UNTUK PENGGAL 3 Soalan Isi Berkaitan 1 Kepentingan Kawasan 1 Dapat meluaskan pasaran barangan Perdagangan Bebas 2 Menjual barangan. Nota Pengajian Am Penggal 3 Made with love.
Q And A Stpm 2022 Pengajian Am Penggal 1 3. Esei pengajian am penggal 3. KERJA KURSUS PENGAJIAN PERNIAGAAN PENGGAL 3 2017.
Pengajian Am Penggal 3 Stpm Sangat Senang Dapat 4 Flat Youtube
Nota Ringkas Pengajian Am Penggal 3 Julianagwf
Nota Struktur Pengajian Am Penggal 2
Top Pdf Nota Ringkas Pengajian Am Penggal 2 123dok Com
Dr Math Nota Stpm Pengajian Am Bahagian B Abk Penggal 3 Sem 3 Shopee Malaysia
Nota Pengajian Am Stpm Penggal 3 Pdf
Skema Percubaan Pengajian Am Penggal 3 2014 1 Pdf
Skema Soalan Selaras Pa Penggal 3 2016 Pdf
Stpm Pengajian Am Penggal 1 Penggal 2 Penggal 3 Textbook Buku Teks Sem1 Lp Local Publications Hobbies Toys Books Magazines Textbooks On Carousell
Pdf Skema Pam Penggal 3 Trial Pahang 2014 Mijaa Mohd Academia Edu
Stpm Pengajian Am Penggal 3 Hobbies Toys Books Magazines Textbooks On Carousell
23 Stpm2020 Ideas Kelantan Free Live Wallpapers Muar
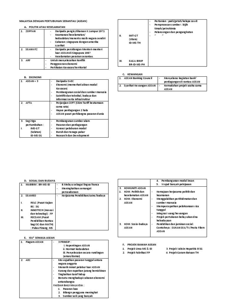
Doc Pengajian Am Stpm Penggal 3 Nota Ringkas Asean Pbb Oic Dan D8 Komanwel Nam Abcd Edf Academia Edu
Bukkushubookku Buku Teks Stpm Pengajian Am Penggal 3
Stpm Percubaan Pa Penggal 3 Sekolah Menengah Kebangsaan Pekan Baru Muar Pdf


